Home Relativistische Vielweltentheorie
Beispiel: Einbeziehung nichtmetrischer GrößenLovelock-Tensoren
Einige Variationsergebnisse Sonstiges
vielweltentheorie.pdfrelativistische@vielweltentheorie.de

Einige Lösungen

Die hier angegebenen Lösungen beziehen sich auf die Feldgleichung:

(1)

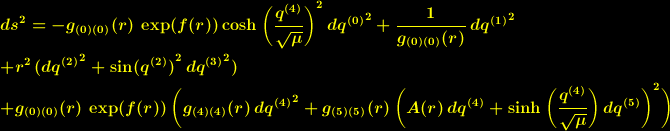
Für ist das Linienelement
(2)
mit:
(3)
der Schwarzschildmetrik mit kosmologischem Zusatzterm eine Lösung der Feldgleichung (1). Die Schwarzschildmetrik hat bei eine Singularität, die sich nicht durch Koordinatentransformationen beseitigen lässt.

Die für gültige Lösung

(4)

mit:

(5)

(6)

(7)

(8)

(9)

und:

(10)
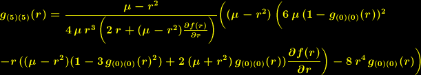
enthält die Schwarzschildlösung für , , und als Grenzfall und erlaubt für singularitätsfreie Lösungen, die im Bereich für mit durch die Schwarzschildlösung näherungsweise beschrieben werden kann. Aus dem Grenzfall für ergibt sich daraus die Lösung:

(11)
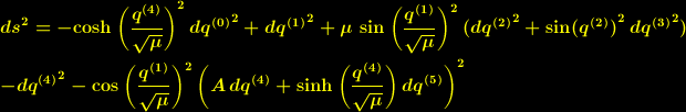
Diese Lösung gilt auch für und als Näherung für (4). Der Teilbeireich dieser Lösung, der durch

(12)
beschrieben wird, ist auch eine Lösung für . Diese Lösung stellt eine dreidimensionale Kugeloberfläche mit dem Radius dar.


Home Relativistische Vielweltentheorie
Beispiel: Einbeziehung nichtmetrischer GrößenLovelock-Tensoren
Einige Variationsergebnisse Sonstiges
vielweltentheorie.pdfrelativistische@vielweltentheorie.de

© 2005-2008 Thorsten Krechel. Alle Rechte vorbehalten.