| Home | Relativistische Vielweltentheorie |
| Einige Lovelock-Tensoren | Einige Variationsergebnisse |
| Einige Lösungen | Sonstiges |
| vielweltentheorie.pdf | relativistische@vielweltentheorie.de |
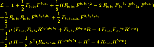
Die Einbeziehung von nichtmetrischen Größen in die Vielweltenformel (15) unter Relativistische Vielweltentheorie kann durch das Additive Hinzufügen eines divergenzfreien Spannungstensors
erfolgen, bei der nichtmetrische und metrische Größen derart kombiniert sind, dass die Bedingung (13) unter Relativistische Vielweltentheorie in einer solchen Vielweltenformel insgesamt erfüllt wird:
![]() | (19) |
![]() | (1) |
besteht neben dem Krümmungstensor
, aus dem elektromagnetischen Feldstärketensor
, der aus dem elektromagnetischen Vektorpotential
nach der Vorschrift
![]() | (2) |
gebildet wird, und aus einem Feldstärketensor
, der aus einem total-antisymmetrischen Tensorpotential
nach der Vorschrift
![]() | (3) |
gebildet wird. Die Lagrange-Dichte
(1) ist nur aus Skalaren aufgebaut, die jeweils unterhalb bestimmter Dimensionsanzahlen
verschwinden, so dass im endlichdimensionalen die Lagrange-Dichte
(1) nur aus Größen endlicher Potenz besteht.
Betrachten wir dazu die Lagrange-Dichte
(1) für
, dann reduziert sie sich zu:
![]() | (4) |
Aus der damit aufgebauten Wirkung
ergibt die Variation nach den Feldvariablen
,
und
, indem alle auftretenden Variationen durch
,
und
ausgedrückt werden:
![]() | (5) |
Mit:
![]() | (6) |
![]() | (7) |
![]() | (8) |
Aus dem Variationsprinzip
ergeben sich daraus die folgenden Feldgleichungen:
![]() | (9) |
![]() | (10) |
![]() | (11) |
Die Größen
und
in den Feldgleichungen (10) und (11) sind beide divergenzfrei, und somit Erhaltungsgrößen, weil alle Größen

in diesen Feldgleichungen divergenzfrei, und somit Erhaltungsgrößen sind, da sie alle aus der Divergenz von total-antisymmetrischen Tensoren aufgebaut sind. Bilden wir die Divergenz von (9), dann erhalten wir daraus:
![]() | (12) |
Mit den Bedingungen (10) und (11) ist diese Größe somit auch divergenzfrei, und somit auch eine Erhaltungsgröße. Somit erhalten wir aus dem Variationsergebnis (5) durch das Variationsprinzip
nur divergenzfreie Tensoren.
| Home | Relativistische Vielweltentheorie |
| Einige Lovelock-Tensoren | Einige Variationsergebnisse |
| Einige Lösungen | Sonstiges |
| vielweltentheorie.pdf | relativistische@vielweltentheorie.de |
| © 2005-2008 Thorsten Krechel. Alle Rechte vorbehalten. |